Книга 1. Від вогню та води до електрики
7.2.1. Вихідний органічний матеріал
Загальновизнано, що вугілля є продуктом глибоких перетворень давньої рослинності та мікроорганізмів. Лігнін і вуглеводи, з яких в основному складається наземна рослинність, і ліпіди, яких більше усього у водяній рослинності та мікроорганізмах, складаються з вуглецю С, водню Н і кисню О; білки, які входять до складу як наземної, так і водяної рослинності, містять також азот N і сірку S. Всі перелічені елементи входять до складу органічної частини вугілля.
Вуглеводи (умовна формула Сn(H2O)m) займають перше місце за питомою вагою серед органічних речовин на Землі. Серед них найбільш розповсюджена целюлоза (С6Н10О5)n – до 50% сухої маси наземних рослин, їх основний «будівельний матеріал».
Під дією мікроорганізмів целюлоза легко руйнується.
Лігнін – друга за розповсюдженістю органічна речовина, складний аморфний полімер ароматичної природи з приєднаними –ОН, –ОСН3 та іншими групами. У наземних рослин виконує роль цементуючої речовини, яка склеює пучки целюлозних волокон, складає до 30% їх сухої маси. У середньому лігнін містить за масою 63% вуглецю (усереднена умовна формула С9Н10,3О3,3) і вважається основною вуглеутворювальною речовиною.
Ліпіди – широка група речовин, які здатні розчинятися в органічних розчинниках і практично не розчиняються у воді. До ліпідів відносять жири, віск, смолу – вуглеводні в основному ланцюжкової (окрім смоли) структури, з усередненою умовною формулою СН1,8О0,8. Ліпіди складають до 30% маси водяної рослинності й бактерій та є другою за важливістю вуглеутворювальною речовиною.
Білки – природні високомолекулярні сполуки складної структури (ланцюжки, згорнені у вигляді спіралі чи клубка). Вони є структурною основою живих організмів й забезпечують спадкову передачу і формування їх ознак та властивостей. Білки містять за масою близько 54% С, 7% Н, 22% О, 16% N, до 2,4% S. У водоростях і бактеріях їх до 40–50% сухої маси, в наземних рослинах – до 20%. Білки легко розкладаються, але продукти їх розкладання частково зв'язуються з іншими органічними залишками, що забезпечує у вугіллі наявність азоту і органічної сірки.
Процес розкладання відмерлих рослин і мікроорганізмів залежить від умов доступу кисню повітря. На поверхні ґрунту при вільному доступі повітря чи в ґрунті на невеликій глибині відбуваються тління і перегнивання, при яких органічні залишки повністю чи у більшій частині реагують з киснем повітря до діоксиду вуглецю СО2 і води Н2О і надалі не беруть участі у вуглеутворенні. Навпаки, коли органічні залишки насичуються водою чи повністю занурені в неї, доступ кисню малий чи відсутній, і переважають біохімічні процеси оторфовування і гнильного бродіння. При цьому головна маса первинного органічного матеріалу переходить у торф (продукт біохімічних перетворень переважно наземної, чи гумусової, рослинності, основа утворення гумусового вугілля) або сапропель (продукт біохімічних перетворень водяної рослинності й мікроорганізмів, основа утворення сапропелітового вугілля), які є основою для подальшого утворення вугілля. Густина сапропелю звичайно більша, а вологість і пористість менші, ніж у торфу. Більшість вугілля України відноситься до гумусо-сапропелітового, де переважають гумусові компоненти.
Наприкінці 60-х років ХІХ століття Д.І. Менделєєв детально вивчив різноманітне кам'яне вугілля, причому у його нотатках «Види кам'яного вугілля», які були включені до «Основ хімії» (1869 р.), дається детальна характеристика різних типів вугілля та описуються їх властивості. У 1870 р. Д.І. Менделєєв у статті «Про закон теплоємності та складності вугільної частинки» першим відзначив, що «вугілля має представляти Сn, де n – велике».
На стадії оторфовування та гнильного бродіння молекулярна структура органічних залишків значно спрощується. Вуглеводи майже повністю, а білки частково розкладаються під впливом життєдіяльності мікроорганізмів з виділенням газоподібних речовин (оксид СО і діоксид вуглецю СО2, метан СН4, сірководень H2S, аміак NH3) або речовин, які розчиняються у воді, та води. Основу розкладеної органіки тепер становлять найбільш біохімічно стійкі вуглеводневі «комірки», чи структурні елементи: аліфатичні ланцюж/ ки (СН2)n, властиві сапропелям (мал. 7.7, а), і ароматичні сполуки (С6Н6), властиві гумусам (мал. 7.7, б), до того ж ароматичні кільця можуть утворювати ароматичні групи (мал. 7.7, в). Замість атомів водню з аліфатичними ланцюжками і ароматичними групами можуть бути пов'язані одноі двовалентні групи –OН, = СО, –СН3, –СООН, = SO, –SH, –NH2.
Серед відмінностей властивостей аліфатичних і ароматичних вуглеводнів найбільше значення мають такі: енергія зв'язку атомів вуглецю в ароматичних сполуках майже вдвічі більша, ніж в аліфатичних; відношення кількості атомів Н/С в аліфатичних вуглеводнях складає близько 2, в простих ароматичних – близько 1; зі збільшенням ступеня полімеризації ароматичних сполук воно зменшується, аліфатичних – не змінюється.
Таким чином, ароматичні сполуки містять більше вуглецю, ніж аліфатичні, і більш стійкі до фізико-хімічного впливу. Граничними випадками високополімеризованої, чи карбонізованої, ароматичної структури є графіт і сажа (технічний вуглець). Вони не містять атомів водню, крім приєднаних до периферійних атомів вуглецевої решітки, і відрізняються високою хімічною інертністю, а графіт до того ж – міцністю та вогнетривкістю.
Згідно з найбільш розповсюдженою теорією метаморфізму на наступних стадіях біохімічні процеси припиняються, основна роль належить фізико-хімічним процесам, що протікають при невисокій температурі (буровугільна стадія) і при підвищеній температурі в умовах високого тиску розташованих вище пластів (кам'яновугільнаантрацитова стадія). Згідно з теорією вуглеутворення Г..Л. Стадникова ступінь вуглефікації визначається інтенсивністю життєдіяльності анаеробних мікроорганізмів, найбільш високою в умовах повної ізоляції від повітря, наприклад, внаслідок покриття органічних скупчень морем. Так чи інакше, цей процес проходив протягом десятків мільйонів років і супроводжувався подальшою полімеризацією ароматичних структур і відщепленням найбільш слабо зв'язаних Н-, Оі Sвмісних груп, які залишають вугільну речовину в газоподібному вигляді. Вважають, що викиди метану в шахтах викликані саме його відщепленням в процесі вуглефікації при неможливості виходу з пласту через газощільну покрівлю.
Мал. 7.7. Основні структурні елементи органічних залишків, що розклалися:
а – аліфатичний ланцюжок, б – ароматичне кільце (атоми вуглецю в кутках не показані), в – ароматична група (периферійні атоми водню не показані);
1–3 – приєднані –ОН, – СН3, –СООН групи
Мал. 7.8. Лінійні моделі вугільних макромолекул
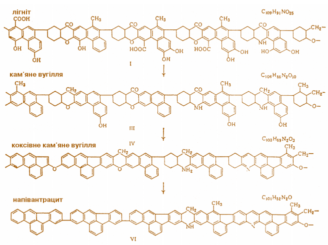
Зміну молекулярної структури гумусо-сапропелітового вугілля у міру вуглефікації від бурого (лігніту) до напівантрациту можна проілюструвати за допомогою спрощеної лінійної моделі вугільних макромолекул (мал. 7.8).
Можна побачити, що у міру збільшення ступеня вуглефікації (метаморфізму) у вугільній речовині атомарне відношення Н/С знижується від 0,83 до 0,51, О/С – від 0,23 до 0,01; ступінь ароматичності (частка атомів вуглецю, які входять до складу ароматичних фрагментів макромолекул) зростає від 0,50–0,55 до 0,90–0,96; середній розмір ароматичних фрагментів макромолекул зростає від 2–3 до 8–12 ароматичних кілець на фрагмент.
Зростання атомарної частки вуглецю, ступеня ароматичності та середнього розміру ароматичних фрагментів свідчить про підвищення ступеня карбонізації з ростом ступеня метаморфізму. При цьому знижується реакційна здатність вугілля – характеристика, зворотна хімічній інертності.
Стадников Георгій Леонтійович (1880–1973), російський хімік. Відкрив (1906) разом з М.Д. Зелінським названу їх іменами реакцію одержання ?–амінокислот. Пояснив (1965) процес самозапалення вугілля та запропонував способи розпізнавання порід, що самозапалюються. Установив природу сапропелітів. Розвивав органічну теорію походження вугілля та нафти. Критикував теорію метаморфізму вугілля, створив власну теорію вуглеутворення. Його погляди, хоч і не стали загальноприйнятими, значно розширили уявлення про шляхи і особливості утворення та закономірності залягання вугілля різного ступеня вуглефікації. Був репресований, в 1938–1955 рр. знаходився в ув'язненні. Основні праці – з органічної хімії і вуглехімії.
Мал. 7.9. Терикони сухих відходів видобутку вугілля, що вигоріли (Львівсько/Волинський басейн)
Зміна реакційної здатності вугілля зі зміною ступеня метаморфізму добре ілюструється явищами вивітрювання вугільних пластів і самоокислення добутого вугілля в штабелях, найбільш сильними для кам'яного вугілля. Більш метаморфізовані антрацити значно слабше схильні до вивітрювання і самоокислення. Найменш метаморфізоване буре вугілля захищає від вивітрювання і самоокислення волога, яка замикає пори, однак підсушене буре вугілля окислюється дуже швидко. Самоокислюються (вигоряють) також терикони сухих відходів видобутку вугілля, які містять породу та залишковий вуглець (мал. 7.9).
Як в природних умовах ступінь карбонізації вугілля підвищується з ростом вуглефікації (метаморфізму), так і в штучних умовах ступінь карбонізації вугільної речовини можна збільшити шляхом нагрівання без доступу повітря. Цей процес також супроводжується полімеризацією ароматичних структур і відщепленням найбільш слабо зв'язаних Н-, Оі Sвмісних груп у вигляді газів та парів. Саме таким шляхом – нагріванням без доступу повітря – одержують деревне вугілля. Цікаво, що чим більше метаморфізоване гумусосапропелітове вугілля, тим менш воно втрачає при нагріванні газів і парів чи летких речовин. Тому вихід летких речовин можна розглядати як непряму характеристику ступеня метаморфізму вугілля.
Мал. 7.10. Мацерали, мікроскопічно розпізнавані на шліфах кам'яного вугілля:
а – чистий вітриніт (збільшення – 250), б – вкраплення інертиніту (збільшення – 250), в – вкраплення ліптиніту (макроспора, збільшення – 140)
Леткі речовини є найбільш реакційноздатною частиною вугільної речовини, а частково карбонізований твердий залишок – найменш. Тому вихід летких речовин опосередковано характеризує також реакційну здатність вугілля.
У міру збільшення ступеня вуглефікації (метаморфізму) змінюються також фізичні властивості вугілля. Збільшуються уявна густина вугілля і його міцність, зменшуються пористість і максимальна вологоємкість. Для гумусо-сапропелітового вугілля українських родовищ найвища теплота згоряння на суху беззольну масу зростає від 30–31 МДж/кг для бурого до 35–36 МДж/кг для кам'яного (у зв'язку із зниженням частки кисню), зменшуючись для антрациту до 34–35 МДж/кг (у зв'язку із зниженням частки водню). Вугілля відрізняється також зовнішнім виглядом.
Буре вугілля прийнято ділити на два крайніх типа – землисті, вуглефікація яких відбувалася при частковому доступі повітря, наприклад через піщані осадові породи, і щільні (лігніти). За вмістом вологи в пласті їх ділять на групи Б1 (більше 40%), Б2 (від 20 до 30%) і Б3 (менш 20%). Буре вугілля Дніпровського басейну України – типово землисте, групи Б1, вміст вологи в пласті 50–55%.
Кам'яне вугілля відрізняється від бурого сіро-чорним чи чорним кольором, блиском, більш високою міцністю, меншою вологоємкістю (вміст вологи у пласті 8–16%).
Антрацити – чорного кольору, вологість у пласті менше 8%, мають сильний блиск, крихкість, характерну кристалічну структуру на зломі. Структурою твердих порід, до яких відноситься і вугілля, займається петрографія (від грецьких «петрос» – каміння і «ґрафо» – описую). Згідно з петрографією неорганічні породи складаються із мінералів, а вугілля – із мацералів (компонентів, які виразно розпізнаються мікроскопічно).
Мацерали – мікроскопічно розпізнавані органічні складові вугілля, аналогічні мінералам неорганічних порід, але відрізняються від них тим, що не мають характерної кристалічної форми і постійного хімічного складу.
Різноманітність мацералів (мал. 7.10) пов'язана з тим, що вугілля навіть в межах одного пласту утворюється із суміші рослинних фрагментів з різними фізико-хімічними властивостями.
Петрографічний склад окремого вугілля являє собою інформацію про ступінь метаморфізму, його мацеральний і мікролітотипний склад і розподіл мінералів в ньому. Органічна речовина кам'яного вугілля, яка спостерігається під мікроскопом у відбивному світлі з масляною імерсією, складається із мацералів, які розрізняються між собою за кольором, показником відбиття, мікрорельєфом, морфологією, структурою і ступенем її збереження, а також за розмірами, анізотропією і твердістю. При кількісному петрографічному аналізі мацерали вугілля об'єднують у групи з близькими хіміко-технологічними властивостями.
Розрізняються такі групи мацералів: вітриніт, ліптиніт (екзиніт) та інертиніт, а також семівітриніт, який виділяють в окрему групу при вмісті його у вугіллі більше 3% (табл. 7.2).
Таблиця 7.2. Групи мацералів органічної частини вугілля
|
Група мацералів |
Мацерали |
||
|
найменування |
позначення |
найменування |
позначення |
|
Вітриніт |
Vt |
Телініт |
Vtt |
|
Колініт |
Vtk |
||
|
Вітродетриніт |
Vtvd |
||
|
Семівітриніт |
Sv |
Семітелініт |
Svt |
|
Семіколініт |
Svk |
||
|
Інертиніт |
I |
Семіфюзеніт |
Isf |
|
Фюзеніт |
If |
||
|
Макриніт |
Ima |
||
|
Мікриніт |
Imi |
||
|
Склеротиніт |
Ick |
||
|
Інертодетриніт |
lid |
||
|
Ліптиніт (екзиніт) |
L |
Спориніт |
Lsp |
|
Кутиніт |
Lkt |
||
|
Резиніт |
Lr |
||
|
Субериніт |
Ls |
||
|
Альгініт |
Lal |
||
|
Ліптодетриніт |
Lid |
||
Інертиніт являє собою найбільш хімічно інертну складову вугілля, ліптиніт і вітриніт – найбільш реакційноздатні його компоненти, до того ж їх реакційна здатність знижується зі збільшенням ступеня метаморфізму.
Група вітриніту – одна з найголовніших складових органічної маси вугілля. Мацерали цієї групи мають рівну поверхню і сірий колір різних відтінків, який закономірно змінюється в залежності від збільшення стадії метаморфізму в бік світлих тонів. Рельєф менш виражений, ніж в інших групах. За кольором і рельєфом цю групу приймають за еталон, з яким порівнюють інші мацерали. Мацерали цієї групи звичайно найменш зольні й мають підвищену крихкість (мікротвердість 200–350 МПа). Вітриніт, який походить головним чином із лігніну та вуглеводів, відрізняється більш високим (0,60–0,85) ступенем ароматичності, що зростає зі збільшенням ступеня вуглефікації, і густиною 1300–1400 кг/м3.
Група вітриніту містить три мацерали (телініт, колініт і вітродетриніт) і входить до складу кам'яного вугілля та антрацитів всього метаморфічного ряду.
Група семівітриніту за фізичними і хіміко-технологічними властивостями займає проміжне положення між групою вітриніту й інертиніту, але ближча до вітриніту. Мацерали цієї групи не мають рельєфу, вони сірого чи білувато-сірого кольору, але завжди світліші, ніж мацерали групи вітриніту. Група містить два мацерали – семіколініт і семітелініт – і входить до складу кам'яного вугілля низької і середньої стадії метаморфізму.
Група інертиніту характеризується високим показником відбиття і різко вираженим мікрорельєфом. Колір змінюється від білого до жовтого. Мацерали цієї групи не спікаються на всіх стадіях метаморфізму. Інертиніт, який походить із деградованих деревних волокон, має найбільш високий ступінь ароматичності (0,75–0,92), який слабо змінюється зі зміною ступеня вуглефікації, і густину 1400–1500 кг/м3. Група містить шість мацералів – семіфюзеніт, фюзеніт, макриніт, мікриніт, склеротиніт, інертодетриніт.
Група ліптиніту (екзиніту). Мацерали цієї групи розрізняються між собою за морфологічними ознаками, які обумовлені їх походженням. Форма і розмір їх також визначаються первинним рослинним матеріалом. Колір ліптиніту змінюється від темно-коричневого і чорного до сірого в залежності від ступеня вуглефікації. Ліптиніт, який походить головним чином із ліпідів, відрізняється низьким (0,40–0,60) ступенем ароматичності та густиною 1200–1300 кг/м3. Група містить шість мацералів: спориніт, кутиніт, резиніт, субериніт, альгініт і ліптодетриніт. Мацерали цієї групи найбільш ефективно визначаються за допомогою флюоресцентної мікроскопії. При цьому кожний мацерал флюоресцує характерним кольором: яскраво-зеленим, зеленим, зеленосинім, жовтим, оранжевим, оранжевокоричневим і червоним.
Основні характеристики мацералів вугілля – показник відбиття і структура.
Різниці властивостей мацералів пов'язані не тільки з первинним матеріалом рослинних залишків, але і з умовами хімічного перетворення органічної речовини на торф'яній стадії.
У процесі петрографічного аналізу поряд з мацералами можуть бути визначені мінеральні вкраплення.
Мінеральні вкраплення у вугіллі та антрацитах представлені глинистими мінералами, сульфідами заліза, карбонатами, оксидами кремнію й іншими мінералами. Під терміном «мінеральна речовина» в даному випадку прийнято розуміти неорганічну речовину, присутню у вугіллі при його видобутку, яка утворилася при ґенезисі в розвитку подальшої геологічної історії.
Глинисті мінерали характеризуються темно-сірим кольором з коричневим відтінком, мають тонкозернисту чи лускату будову. Вони на 50% і більше складені із частинок розміром від 2 до 100 мкм.
Сульфіди заліза у вугіллі звичайно представлені піритом, марказитом, мельниковітом і характеризуються високим мікрорельєфом та яскраво-жовтим кольором. Зустрічаються у вигляді окремих зерен, розеток, часто заповнюють клітинні порожнини рослинної тканини.
Карбонати у вугіллі звичайно представлені кальцитом, сидерітом, доломітом, анкеритом та іншими мінералами. Колір цих мінералів сірий, трохи темніший, ніж вітриніту. У вугіллі карбонати зустрічаються у тріщинах чи утворюють окремі прошарки.
Оксиди кремнію представлені у вугіллі кварцом, халцедоном, опалом та іншими мінералами. Колір темно-сірий, мікрорельєф високий.
7.1. Історія відкриття та використання викопного вугілля та його походження
7.2.2. Фізичні властивості


